作者: 来源: 日期:2017-11-24 浏览:77次
约瑟夫逊效应固有标准
约瑟夫逊效应是一种超导物理现象。它通过基本自然常数的比值,把电压和频率联系起来。约瑟夫逊阵列是一个固有的、可独立复现的标准。它使用一个包含很多约瑟夫逊结的集成电路。
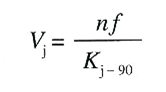
我们用这个标准来表示SI伏特,而不是实现SI伏特。一个单个约瑟夫逊结的输出定义为:
式中: Vj—结电压;
f —以GHz为单位的频率;
Kj-90—483 597.9GHz/V;
n —正或负的整数。
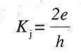
在描述约瑟夫逊效应的方程式中,一般的约瑟夫逊常数用Kj来表示,它等于2倍的基本自然常数e和h之比。即
式中: e—基本电荷;
h—普朗克常数。
1988年10月,国际度量衡委员会(CIPM)建议所有的国家实验室使用相同的约瑟夫逊常数的数值。该建议值为: Kj-90=483 597.9 GHz/V
式中:Kj-90为从1990年1月1日生效的建议值。
注意,Kj-90是赋予约瑟夫逊常数的数值。这个赋予Kj-90的数值不必等于物理常数Kj=2e/h,但是它是按国际协议采用的数值。正如第4章“国际计量学”中所讨论的,自然常数的确定是通过各个国家实验室所开展的基本实验而进行的。
下图福禄克公司用来表示伏特所使用的约瑟夫逊电压系统的照片。

仔细观察约瑟夫逊结
布瑞恩·约瑟夫逊(Brian Josephson)于1962年发现了约瑟夫逊效应。约瑟夫逊效应发生于被一薄层金属氧化物绝缘阻挡层隔开的两个超导体之间。(见下图)。

仔细观察约瑟夫逊结
布瑞恩·约瑟夫逊(Brian Josephson)于1962年发现了约瑟夫逊效应。约瑟夫逊效应发生于被一薄层金属氧化物绝缘阻挡层隔开的两个超导体之间。(见下图)。

在约瑟夫逊阵列中的每一个约瑟夫逊结都产生一个正比于微波源的频率的直流电压;
由于通过约瑟夫逊结的交流电流的量子力学隧道效应,在约瑟夫逊结两端就出现了一系列的恒定的直流电压阶梯(见下图),

每一个恒定直流电压的阶梯都是该交流电流的频率f、普朗克常数h、基本电荷e和阶梯数目n的函数:
约瑟夫逊结放置在用液氦冷却到低于4.2K的杜瓦瓶中。约瑟夫逊结由外部供给的直流和交流电流来偏置。该交流为较高的微波频率的信号。
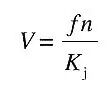
70年代初期,很多国家标准实验室都开始使用交流约瑟夫逊效应作为直流电压的实际标准。在这些应用情况中,上述的方程式变为:
式中K为常数,即
(Kj通常称为约瑟夫逊常数)
每个国家实验室都给约瑟夫逊常数K赋予一个值。所赋的数值是根据它们在其本地标准电池组中保存的、它们用来作为伏特的表示的直流电压值来确定的。这样,它们各自的以约瑟夫逊结为基础的直流电压的表示就不一样。
遵循关于为约瑟夫逊常数赋值的国际协议,1990年1月1日实现了各国基于约瑟夫逊结的直流电压的表示的一致性。该约瑟夫逊常数的赋值为483 597.9 GHz/V,其符号为Kj-90。
在早期,伏特的约瑟夫逊结的表示使用起来很困难。这主要是由于单个约瑟夫逊结上出现的直流电压的电平很低,大约只有10 mV。曾经设想把多个约瑟夫逊结串联起来以获得较高的电压,但是由于需要对每个约瑟夫逊结独立地供给直流偏置电流,这就限制了这种方法的使用。
通过制造出具有大电容的约瑟夫逊结、把这些结串联起来、并用频率比结的等离子体(plasma)频率高得多的微波交流电流来驱动这些约瑟夫逊结,就避免了偏置电流的问题。等离子体频率是由结的电感和电容决定的自然谐振频率。这种构造使得我们可以使用偏置电流接近于零时,跨过约瑟夫逊结零电流轴的恒定电压阶梯。
这项技术已经纳入一个集成电路之中。这个10V的约瑟夫逊串联阵列示于下图。

在这个约瑟夫逊阵列中,就其直流电压和偏置电流来说,由18992个约瑟夫逊结串联起来,从而得到该直流约瑟夫逊电压。
然而,就交流电流来说,这些约瑟夫逊结安排成互相并联的16组,每一组由1 187个约瑟夫逊结串联而成。由于这些约瑟夫逊结具有大的电容,这1 187个结相当于一个微带线(microstripline)。由耿氏二极管(Gunn Diode)发出的微波功率,经过这些约瑟夫逊结,传到在每一组约瑟夫逊结远端的阻抗匹配终端。隔直流电容和电感用来把直流电路和交流电路隔开。
这个约瑟夫逊结阵列可以产生大约150 000个量子化的直流电压,其数值范围从-10 V到+10 V。一个值得注意的有趣的情况是,近来的实验表明,用普通的微波源照射的约瑟夫逊结所产生的直流电压在3×10-19的范围内保持一致。


Email:ovmc@ggjlz.com,yuyan@ggjlz.com 地址:东湖新技术开发区高新五路80号 邮编:430205 技术支持:金百瑞
©2017武汉光谷长盈通计量有限公司 ALL RIGHT RESERVED鄂ICP备17005403号-1 鄂公网安备 42011102002761号